
DỰ ÁN KHU BIỆT THỰ SPRING RESIDENCES THANH XUÂN VALLEY 2026 | BIM GROUP
Spring Residences là tên gọi Khu biêt thự Spring Resdiences tại Thanh Xuân Valley Vĩnh Phúc, đây là một trong những phân khu tại Biệt thự dự án khu đô thị nghỉ dưỡng Thanh Xuan Valley tại phường Xuân Hoà, tỉnh Phú Thọ ( trước đây là xã Ngọc Thanh, thành phố Phúc Yên, tỉnh Vĩnh Phúc ) có quy mô 6.1ha với mật độ xây dựng 23.5% gồm có 50 căn Biệt thự Song Lập và 105 căn Biệt thự Liền kề 2 MẶT TIỀN . Đây là phân khu lấy cảm hứng thiên nhiên của Mùa Xuân phía Bắc trong thung lũng được bao quanh dòng Suối Mây và Hồ Thiên Thanh.
Nhìn theo bản đồ tổng thể dự án Thanh Xuan Valley, dự án Spring Residences như một bán đảo thu nhỏ nằm giữa thiên nhiên với kiến trúc thiết kế Phong cách Đương Đại này lấy nguyên mẫu từ cụm công trình khu nghỉ dưỡng InterContinental Thanh Xuan Valley Resort, hướng đến sự tối giản, lịch lãm, sang trọng. Bao quanh bởi những tán cây xanh mướt, một ý niệm của Nhật Bản “komorebi” — khái niệm lãng mạn về ánh sáng không ngừng thay đổi khi xuyên qua tán lá cây trong rừng — đã truyền cảm hứng thiết kế để phát triển các không gian và chi tiết nhằm mang đến trải nghiệm được kết nối và hòa mình vào thiên nhiên.
Spring Residences là mảnh ghép đương đại đầu tiên tại Thanh Xuan Valley, được BIM Land kiến tạo như một không gian sống hiện đại, hài hòa giữa địa hình đồi tự nhiên và kiến trúc Contemporary. Tối ưu ánh sáng và tầm nhìn đa hướng, phân khu giới thiệu dòng sản phẩm biệt thự song lập và liền kề độc đáo, cân bằng giữa riêng tư và gắn kết, giữa tiện nghi và hệ sinh thái tự nhiên. Đây là nơi những giá trị sống hiện đại được ươm mầm từ những điều nguyên bản, để mỗi cá nhân kiến tạo một chuẩn sống riêng, bền vững và khác biệt.
GIỚI THIỆU SPRING RESIDENCES THANH XUAN VALLEY
- Tên phân khu : Spring Residence
- Chủ đầu tư: Công ty CP Thanh xuân – một thành viên của Tập đoàn Bim Group
- Vị trí: phường Xuân Hoà, tỉnh Phú Thọ ( địa chỉ cũ : xã Ngọc Thanh, Phúc Yên, Vĩnh Phúc )
- Đơn vị Tổng thẩu thi công: …..
- Quy mô: 6.1 ha
- Mật độ xây dựng: 25.3%
- Loại sản phẩm: Biệt thự Song Lập, Biệt thự Liền Kề
- Diện tích đất: 102m2 – 187m2
- Mặt tiền 6.5m – 8m
- Thiết kế 2 mặt tiền
- Chiểu cao 3 tầng
- Hình thức Sở hữu: Đất ở Sở hữu Lâu Dài
- Thời gian bàn giao Quý 4/2027

ĐĂNG KÝ NHẬN BÁO GIÁ TỪNG CĂN
VỊ TRÍ DỰ ÁN THUNG LŨNG THANH XUÂN
Vị trí dự án khu nghỉ dưỡng Thung Lũng Thanh Xuân Bim Group nằm trong thũng lũng xanh mát của dãy núi Tam Đảo kề bên cánh rừng thông 50 năm tuổi nơi mang đến cho bạn và gia đình một không gian sống giữa thiên nhiên giúp bạn tái tạo năng lượng và sức khỏe với 80ha Rừng Thông, 8 hồ nước và 1 dòng suối. Dự án với quy mô 160ha sở hữu riêng 9,4ha diện tích mặt nước và chất lượng không khí và độ ẩm gần giống với Đà Lạt.
Vị trí dự án Thung Lũng Thanh Xuân nằm xã Hợp Thanh, huyện Phúc Yên, tỉnh Vĩnh Phúc, bạn dễ dàng di chuyển từ Hà Nội theo trục Khuất Duy Tiến – Phạm Hùng qua Cầu Thăng Long rồi tiếp tục thẳng tiến Từ huyện Mê Linh lên Vĩnh Phúc theo đường Quốc Lộ chỉ mất 50 phút di chuyển.

Vị trí phân khu Biệt thự Liền kề và Biệt thự Song Lập Spring Residence tại dự án Thung Lũng Thanh Xuân rất dễ nhận thấy khi chúng ta di chuyển từ cổng vào đi hết phân khu Biệt Thự Orchard Residence thì sẽ đến P.Khu Spring Thanh Xuanh Valley. Vị trí khu Biệt thự Mùa Xuân ( Spring Resience ) nằm trên trục đường Thanh Xuân được xem là một bán đảo duy nhất tại dự án được bao bọc bởi Suối Mây và đối diện là Hồ Thiên Thanh và khu nghỉ dưỡng Intercontinental Thanh xuan Valley Resort 10ha của tập đoàn IHG nổi tiếng thế giới và là khu nghỉ dưỡng trên núi đầu tiên của Intercontinental tại Việt Nam.
Từ vị trí dự án Biệt thự Mùa Xuân, gia chủ dễ dàng di chuyển trong bán kính 200m đến các tiện ích cao cấp của dự án Thanh Xuân Valley như :
- Valley Town: Khu phố đi bộ và mua sắm, quảng trường và khu vui chơi trẻ nhỏ
- Xuân Village : Nhà hàng Madam Xuan Village, Khu nông trại và vườn dành cho gia đình và trẻ nhỏ trải nghiệm và khám phá về nông nghiệp và động vật nhỏ.
- Valley Complex : Valley Center :Là nơi thường xuyên tổ chức sự kiện trong nhà hoặc ngoài trời của các tổ chức khi đến đây;
- Sport Club: Bể bơi ngoài trời, khu thể thao dành cho mọi lứa tuổi.
- Tiện ích Intercontinental Country Club.


Với vị trí nằm trong thung lũng dãy núi Tam Đảo và tiếp giáp khu du lịch Hồ Đại Lải cư dân hoàn toàn có thể di chuyển thuận lợi đến điểm vui chơi giải trí:
- Đảo Ngọc — Hồ Đại Lải
- Khu du lịch Hồ Đại Lải – Flamigo Đại Lải
- Sân Golf Đại Lải
- Sân Golf Hồ Thanh Lanh
- Thị trấn Tam Đảo
Đặc biệt, tại dự án Thung Lũng Thanh Xuân có đầy đủ các tiện ích nghỉ dưỡng cao cấp của Intercontinental : Cluhouse, Nhà Hàng, Gyms, Spa, Onsen Khoáng nóng và khu vui chơi giải trí trong Rừng Thông.
TIỆN ÍCH SỐNG TẠI THUNG LŨNG THANH XUÂN
Dự án Thung Lũng Thanh Xuân được chủ đầu tư Thanh Xuân định vị là khu nghỉ dưỡng cao cấp với nhiều tiện ích đẳng cấp hoàn toàn khác biệt về chất lượng sống và chất lượng phục vụ. Với quy mô 168ha trong đó chỉ dành 6% quỹ đất để làm biệt thự nghỉ dưỡng còn lại quỹ đất làm không gian xanh, khu vui chơi giải trí bên rừng thông.
Đặc biệt, dự án Thung Lũng Thanh Xuân xuất hiện sự có mặt tập đoàn Intercontinental Hotels Group quản lý vận hành khu nghỉ dưỡng Intercontinental Thanh Xuân Valley Resort có quy mô 10ha và 2 clubhouse chuẩn 5 sao: Clubhouse Country 1,6ha và Clubhouse tại Phân khu khác.
MẶT BẰNG BIỆT THỰ MÙA XUÂN SPRING RESIDENCES 2026
Mặt bằng khu Biệt thự Mùa Xuân ( Spring Residences ) có quy mô rộng 6.1ha với mật độ xây dựng chỉ 23.6% dành cho 102 căn Biệt thự liền kề và 50 căn biệt thự Sông Lập thiết kế 3 tầng phong cách Kiến trúc Đương Đại ( Contemporary ) có 2 mặt tiền trước sau.
TỔNG QUANG VỀ MẶT BẰNG BIỆT THỰ SPRING THANH XUAN VALLEY
- Quy mô: 6.1 ha
- Phân khu: Spring Residences ( Khu biệt thự mùa xuân )
- Loại sản phẩm: Biệt thự Liền kề, Biệt thự Song Lập
- Diện tích: 97m2 – 187m2 – 208m2
- Mật độ XD: 90% – 65%
- Chiều cao BT Liền kề: 4 tầng
- Chiểu cao BT Song Lập 3 tầng
- Thiết kế thoáng 2 mặt tiền. Rộng 8-10m
- Bàn giao hoàn thiện mặt ngoài
MẶT BẰNG BIỆT THỰ SPRING RESIDENCES THANH XUAN VALLEY 2026
ĐĂNG KÝ NHẬN BÁO GIÁ TỪNG CĂN
THIẾT KẾ BIỆT THỰ SPRING TẠI THUNG LŨNG THANH XUÂN
Valley Home– Nhà Trong Thung Lũng là một khái niệm hoàn toàn mới, được định hình và đặt tên trong khuôn khổ dự án Thung Lũng Thanh Xuân. Đây không chỉ là một sản phẩm bất động sản, mà còn là tuyên ngôn cho xu hướng sống thời thượng – nơi đánh dấu bước chuyển mình của thị trường BĐS Việt Nam trong tương lai.
Nơi ấy, là chốn trở về:
Là căn nhà phố sang trọng nép mình dưới những tán thông xanh biếc, giữa lòng thung lũng yên bình.
Là không gian riêng tư, đong đầy cảm hứng và thanh khiết đến từng hơi thở.
Là nơi thiên nhiên ôm trọn con người, nhẹ nhàng chữa lành và tái tạo năng lượng sống.
Là nơi từng nhịp thở như được đánh thức bởi thanh xuân bất tận.
Biệt thự Spring Residences tại dự án Thung Lũng Thanh Xuân mang đến 1 phong cách thiết kế hoàn toàn mớ, i khác với vẻ đẹp kiến trúc của thời kì Phục Hưng Tây Ban Nha ở phân khu Valley Park Residence. Kiến trúc Đương Đại ( Contemporary ) man hướng đến sự tối giản, lĩnh lãm và sang trọng. Bao quanh căn biệt thự Mùa Xuân là những tán cây xanh mướt, một ý niệm của Nhật Bản “kororebi” – khái niệm lãng mạng về ánh sáng không ngừng thay đổi khi xuyên qua tầng lá đã truyền cảm hứng thiết kế cho kiến trúc sư tài ba muốn không gian xanh như chạm vào mọi góc của căn phòng.
Hình dáng của Biệt thự Mùa Xuân Spring Residences được cố định bởi phần chân đế bằng đá tối màu, sau đó chuyển đổi dần dần sang các lớp vật liệu nhẹ hơn với màu sắc và kết cấu hài hòa. Những mái hiên rộng nhô ra tái hiện hiệu ứng che phủ tự nhiên của tán cây lớn. Các bồn cây cảnh lớn điểm xuyết giúp làm mềm mặt tiền, tạo cảm giác các công trình như hoà quyện hữu ý với cảnh quan thiên nhiên.
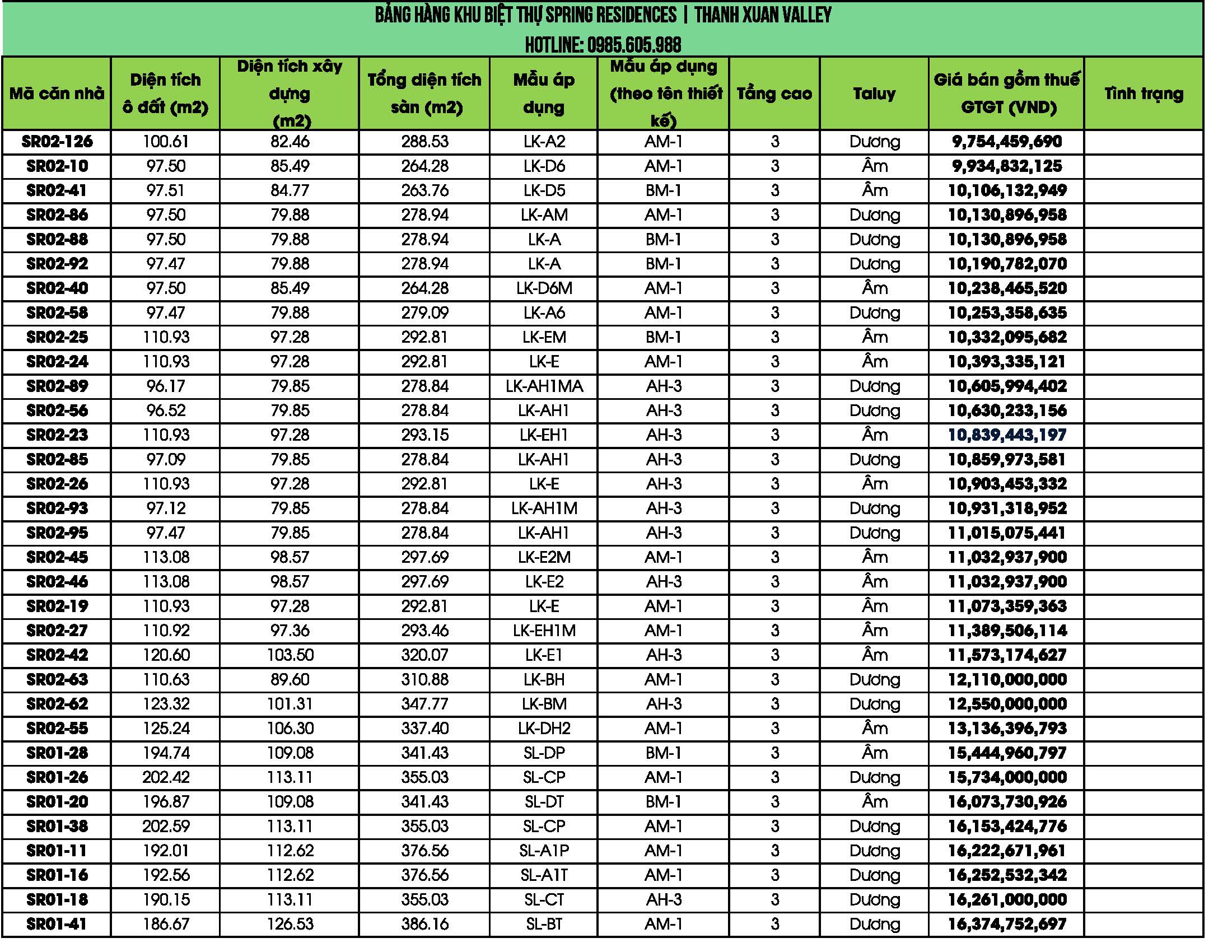
GIÁ BÁN BIỆT THỰ SPRING RESIDENCES TẠI THANH XUẠN VALLEY 2026
Giá bán biệt thự Spring Thanh Xuan Valley chuẩn bị mở bán chính thức trong Quý 3/2025 theo kế hoạch của chủ đầu tư Thanh Xuan Valley by Bim Group. Mở bán đợt 1 60 căn Biệt thự Mùa Xuân gồm 2 loại Biệt thự Liền kề và Biệt thự Song Lập có diện tích từ 102m2 – 187m2 dành cho khách hàng muốn sở hữu căn biệt thự theo phong cách thiết kế Đương Đại.
Giá bán khu Biệt thự Spring Thanh Xuân Valley có giá từ 11 tỷ/căn -14 tỷ/căn liền kề Spring Residencs và giá bán 18- 29 tỷ/căn biệt thự Song Lập cùng chương trình bán hàng có ưu đãi dành riêng cho khách hàng.
Tháng 11/2025, toàn bộ sản phẩm Liền kề, Biệt Thự Spring đã được giao dịch thành công 100% các căn Liền kề và Biệt thự Spring Residences tại dự án Thung Lũng Thanh Xuân.
Tháng 12/2025, còn duy nhất 1 căn Liền kề SR2-93 diện tích 97.2m2, vị trí căn góc nội khu. Giá bán: 11.8 tỷ/căn ( giá đã gồm VAT và bàn giao hoàn thiện mặt ngoài )
NHẬN ĐẶT CHỖ 50 TRIỆU/CĂN, Khách hàng được ưu tiên chọn căn và thông báo giá trước khi mở bán công khai tại sự kiện.
Chính sách bán hàng Biệt thự Spring Residences dành cho khách hàng đặt cọc:
- TẶNG 100 TRIỆU CĂN LK và 200 TRIỆU BT SONG LẬP
- Thanh toán theo tiến độ chuẩn CHIẾT KHẤU 4%
- Thanh toán Sớm 50% chiết khấu 8%
- Chiết khấu TTS đợt 1 95% 12%
- Hỗ trợ vay trả góc kèm lãi suất 0% trong 24 tháng.
- Miễn phí 3 năm phí quản lý
GIÁ BÁN BIỆT THỰ SPRING RESIDENCES HÔM NAY:
- Đơn giá dự kiến : 85 – 98 Triệu/m2
- Giá bán BT Liền kề : 10.5 – 12.5 tỷ
- Giá bán Biệt thự Song Lập: 15 tỷ – 18 tỷ/căn
- Giá bao gồm VAT và Xây dụng 3 tầng hoàn thiện mặt ngoài
- Trực tiếu kí Hợp đồng trực tiếp chủ đầu tư.
- Cam kết sổ đỏ lâu dài
BẢNG GIÁ BIỆT THỰ MÙA XUÂN SPRING RESIDENCES MỚI NHẤT 2026

ĐĂNG KÝ NHẬN BÁO GIÁ TỪNG CĂN
CHÍNH SÁCH BÁN HÀNG GIAI ĐOẠN 1
Chính sách bán hàng dành cho K.Hàng mua BIỆT THỰ LIỀN KỀ VÀ BIỆT THỰ SONG LẬP tại phân khu SPRING RESIDENCES trong thời điểm này như sau:
- TẶNG 100 TRIỆU dòng Liền kề, 200 TRIỆU dòng BT Song Lập
- Tiến độ thanh toán 15 tháng. Chiết khấu 4%
- C.Khấu 8% khi KH thanh toán sớm đợt 1 50%
- C.Khấu 12% khi KH thanh toán sớm đợt 1 95%
- Miễn phí dịch vụ 3 năm
- Hỗ trợ vay ngân hàng L.suất 0% trong 24 tháng. Ân hạn nợ gốc trong thời gian hỗ trợ lãi suất. Miễn phí trả nợ trước hạn.
- Tặng gói chăm sóc sức khoẻ PMC.
CHI TIẾT VỀ CHÍNH SÁCH BH MỚI NHẤT NHƯ SAU:
- Tiến độ thanh toán 15 đợt
- Chiết khấu theo tiến độ thanh toán chuẩn 4%
- Chiết khấu 8% dành cho KH thanh toán sớm đợt 1 50%
- Chiết khấu 12% dành cho KH thanh toán sớm đợt 1 95%
- Hỗ trợ vay ls 0% 24 tháng.
TIẾN ĐỘ DỰ ÁN THUNG LŨNG THANH XUÂN 2025
Về tiến độ dự án Thung Lũng Thanh Xuân, dự án đã được chủ đầu tư bắt đầu tiến hành xây dựng 72 căn biệt thự thuộc phân khu Orchard Residences vào Tháng 8/2022 đến nay hiện đang hoàn thiện công đoạn cuối cùng bàn giao cho khách hàng vào Quý I/2024. Phân khu Orchard được thi công bởi Unicons
Ngoài ra, chủ đầu tư đang xây dựng hoàn thiện 2 Khu Clubhouse gồm Country Club do tập đoàn IHG quản lý vận hành và 1 Clubhouse tại phân khu Orchard Residences được thi công bởi Công ty XD CDC
Quý 3/2023, đơn vị thi công đang tiến hành san lấp và thi công phân khu trung tâm Valley Park Residences cũng là phân khu đang mở bán ở thời điểm này. Dự kiến sẽ hoàn thành trong Quý 1/2025
Tháng 1/2025: Căn nhà mẫu Biêt thự Thung lũng Thanh xuân đã hoàn thành, 170 căn biệt thự đã cất nóc và đang hoàn thiện mặt ngoài dự kiến bàn giao Quý 4/2025.
Tháng 2/2025: Văn phòng bán hàng đã hoàn thành. Biệt thự mẫu thung lũng đã hoàn thiện và sẵn sàng đón khách tham quan từ 26/02/2025.
Tháng 3/2025: Tổ chức sự kiện mở bán và công bố giá bán chính thức phân khu Valley Park Residences và dự kiến có thêm phân khu Valley Spring ( Shophouse, Liền Kề )

CÔNG TY CỔ PHẦN THANH XUÂN – BIM GROUP
Địa chỉ Trụ sở chính
- Tại Hà Nội: 44 Yên Phụ, Hoàn Kiếm, Hà Nội
- Tại Hạ Long: Tòa Green Tower 17 Tầng, đường Hoàng Quốc Việt, Hạ Long
Văn phòng bán hàng:
Địa chỉ: tại dự án Thung Lũng Thanh xuân, xã Hợp Thanh, Phúc Yên, Vĩnh Phúc






























































