
CẬP NHẬT BẢNG GIÁ CĂN HỘ TÒA S1, S2 LIBERA NHA TRANG 20/06/2024
Ngày 20/06/2024, chủ đầu tư dự án Libera Nha Trang cập nhật bảng giá căn hộ tòa S1, S2 Libera Nha Tranh dành cho khách hàng lựa chọn mua để ở hoặc đầu tư cho thuê dòng căn Studio, 1 Ngủ và 1 Ngủ + tại các tầng từ 02 đến 30.
Các căn Studio view chính diện biển và bãi tắm Sanhome và Libera gồm mã căn : S1.20 đến S1.42 có diện tích 25.8m2
Các căn Studio view Biển và thành phố Nha Trang gồm mã căn S1.45 đến S1.50 có diện tích 25m2 – 25.6m2
Căn 2 ngủ tại tòa S1 Libera Nha Trang gồm S1.43 và S1.44 view chính biển
Các căn Studio view Núi và Tầng cao sẽ view biển Nha Trang hoặc Vịnh Nha Phu của Khánh Hòa. Tầng cao view biển Tầng 15 trở lên
Khách hàng mua căn hộ Libera Nha Trang được hưởng ưu đãi sau:
– KH có quyền lựa chọn 1 trong 4 phương án thanh toán theo tiến độ: 1 NĂM, 2 NĂM, 4 NĂM VÀ VAY NGÂN HÀNG
– Khách hàng thanh toán đợt 1 95% nhận Chiết Khấu là 8.37%.
– Hỗ trợ Vay tối đa 70% GTCH trong 36 tháng với Lãi suất 0%. Miễn phí Phí trả nợ trước hạn. Ân hạn nợ gốc trong thời gian hỗ trợ lãi suất
GIÁ BÁN CĂN HỘ SANHOME LIBERA NHA TRANG HÔM NAY
- Đơn giá: 47 triệu – 65 triệu/m2
- Giá Studio: 1.32 tỷ – 1.6 tỷ/căn
- Giá 1 Ngủ: 2.28 tỷ – 2.6 tỷ/căn
- Giá 2 Ngủ: 3.5 Tỷ – 3.9 Tỷ/căn
- Giá bán đã bao gồm thuế VAT và Bàn giao nội thất đầy đủ
- Thanh toán đợt 1 chỉ 10% tương ứng 132 triệu – 350 triệu tủy dòng căn
Lưu ý: Giá bán căn hộ phụ thuộc vào các đợt mở bán và vị trí Tầng sẽ có giá bán khác nhau
Tòa SanHôme | DIỆN TÍCH | HƯỚNG VIEW | GIÁ BÁN ( Tỷ/Căn ) |
STUDIO | 25.7m2 | View Biển, TP Nha Trang | 1.32 - 1.65 |
1 NGỦ + | 38-45m2 | View Biển, Nội Khu | 2.5 -2.7 |
2 NGỦ | 62m2 | View Biển | 3.5 -3.7 |
XEM MẶT BẰNG CĂN HỘ SANHOME LIBERA NHA TRANG
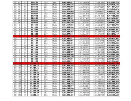
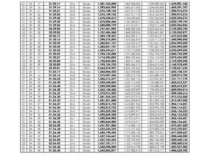
BẢNG GIÁ CHI TIẾT CĂN HỘ SANHOME LIBERA NHA TRANG 20/06/2024
Phòng kinh doanh liên tục cập nhật bảng giá bán căn hộ tại tòa Sanhome S1 và S2 dự án Libera Nha Trang đến khách hàng nhanh nhất. Để kiểm tra tình trạng căn ĐANG BÁN hay ĐÃ BÁN vui lòng liên hệ theo số điện thoại
HOTLINE: 0985.605.9888 ( ZALO HOẶC TRỰC TIẾP )
DANH SÁCH BẢNG GIÁ CĂN HỘ TÒA S1, S2 LIBERA NHA TRANG MỚI
Khách hàng cần check tình trạng căn ĐÃ BÁN HOẶC ĐANG BÁN, vui lòng liên hệ Phòng Kinh doanh chủ đầu tư theo số: 0985.605.988
Như vậy, quý khách đã xem chi tiết thông tin bảng giá mở bán căn hộ chung cư Icon40 Hạ Long của chủ đầu tư BIM Group
Nếu khách hàng đang muốn đặt mua căn hộ Icon40 Hạ Long vui lòng liên hệ với chúng tôi qua số điện thoại: 0985.605.988 ( 24/7 ) bất kỳ thời điểm nào trong ngày chúng tôi sẽ tư vấn và hướng dẫn khách hàng mua sản phẩm.
Đối với khách hàng có nhu cầu chuyển nhượng lại căn hộ Icon40 cũng hãy gửi thông tin qua zalo: 0985.605.988 hoặc liên hệ trực tiếp số máy trên.
Tiếp theo, quý khách tìm hiểu thêm về những thông tin tiếp theo của dự án Icon40 Hạ Long, Bãi Cháy, Quảng Ninh:
- Thông tin chi tiết dự án Icon40 Hạ Long
- Vị trí dự án Chung cư Icon40 Hạ Long tại Bãi Cháy
- Mặt bằng căn hộ Icon40 Hạ Long Bim Group
- Thiết kế căn hộ Icon40 Hạ Long
- Tiến độ dự án Icon40 Hạ Long
- Bảng giá tổng hợp Icon40 Hạ Long các đợt mở bán
- Pháp lý Icon40 Hạ Long của BIM Group
TGD Land cam kết thông tin chính xác về những sản phẩm bất động sản do chúng tôi tham gia bán hàng và phân phối trực tiếp chủ đầu tư. TGD Land cam kết mang đến cho khách hàng dự án đầu tư an toàn về pháp lý và tiềm năng tăng giá của bất động sản.
CÔNG TY CỔ PHÂN ĐẦU TƯ VEGA CITY
(thành viên của KDI Holdings)
Địa chỉ công ty:
- Tại Hà Nội
16 Nguyễn Công Trứ, Hà Nội - Tại Hồ Chí Minh
Tầng 4, Toà nhà The Mett, Số 15 Đường Trần Bạch Đằng, Phường Thủ Thiêm, TP. Thủ Đức, TP.HCM.
Văn phòng bán hàng:
Khách hàng xem dự án hoặc yêu cầu tư vấn, đặt mua đối với dự án, quý khách vui lòng đến văn phòng bán hàng tại chính dự án
Địa chỉ VPBH tại Nha Trang: tại dự án Libera Nha Trang đường Phạm Văn Đồng, Vĩnh Hải, tp. Nha Trang
















